课题一:中期科学研究进展
自课题启动以来,围绕“黑土地农用土壤质量退化时空格局及其主控因素”的核心科学问题,本课题取得了系列重要进展,为全面揭示东北黑土区土壤质量演变规律及驱动机制奠定了坚实基础。截至目前,已发表相关论文8篇,其中SCI论文3篇,申请发明专利2项,获批地方标准1项。
为精准把握黑土区土壤质量现状与动态,课题组全面完成了三大平原(三江平原、松嫩平原、辽河平原)2812个表层土壤样品的系统采集(图1),并整合分析了四个始建于1979-1990年间的长期定位试验站(黑河、海伦、公主岭、沈阳农业大学)的样品与数据,涵盖了不同管理措施下的土壤演变信息。所有样品均进行了多维度指标(涵盖基础理化、微生物及酶活性等)测定,构建了黑土地农用土壤质量多尺度时空数据库。

图1 三江平原、松嫩平原和辽河平原土样样品采集分布图
基于此数据库,本课题初步探明了三大平原土壤质量指数(SQI)的宏观时空演变特征(图2)。分析表明,2008至2022年间三大平原土壤综合肥力普遍呈明显下降趋势,三江平原尤为显著,空间格局亦由2008年的“东高西低、北高南低”转变为2022年“自北向南下降”的态势。尤为关键的是,区域土壤肥力的主控因子已由过去的有机质转变为当前的土壤pH(图3)。精细化空间分析进一步揭示了重点区域(如三江平原及松嫩平原南部)养分分布热点与关键指标的梯度规律。为实现高效评估,还建立了如松嫩平原南部的土壤质量最小数据集(MDS),筛选出全氮、微生物量碳等代表性表层指标。

图2 三大平原2008年和2022年土壤综合肥力指数变化

图3 三大平原2008年和2022年土壤理化指标变化
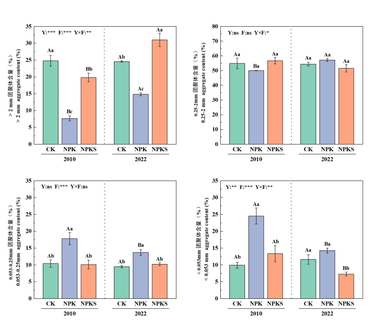
在退化机制层面,研究明确了施肥措施对黑土团聚体稳定性的显著影响,证实有机无机配施及有机物料(秸秆、生物炭)能有效提升稳定性,而不平衡施肥则有负面效应(图4)。对三江平原土壤溶解性有机质(DOM)荧光特征的解析,则从分子层面揭示了高质量土壤有机质具有更高稳定性和腐殖化程度的特征。依托四个长期定位试验,深入揭示了典型黑土及棕壤土壤有机碳(SOC)的时空演变规律及其驱动因素。研究发现,SOC含量总体随纬度升高而增加,但其主控因素(如碳投入、磷循环等)在不同站点和土类间存在差异。不同土壤管理措施影响显著,有机无机配施能有效地促进SOC累积,速率较单施化肥处理提高20-89%(图5)。综合而言,土壤自身性质和区域气候是SOC累积的直接驱动力,而碳投入等农田管理则通过改变土壤性质间接调控。

图4 长期施肥条件下土壤团聚体的时间变化特征

图5 不同实验点土壤有机碳累积速率变化
综上所述,本课题通过大规模数据采集与多方法综合分析,在揭示东北黑土地农用土壤质量退化的时空格局、识别关键主控因素以及深化对核心退化过程与驱动机制的理解方面取得了重要进展。这些成果为准确评估黑土地健康状况、预测其演变趋势以及制定科学有效的退化阻控与地力提升策略提供了有力的科学支撑。后续研究将进一步聚焦关键过程的耦合机制与模型的构建验证。
附件下载:
吉公网安备22017302000214号